Bersara Atas Sebab Kesihatan / Adakah anda sedia untuk melawan jangkitan?

Bersara Atas Sebab Kesihatan / Adakah anda sedia untuk melawan jangkitan?. Bilakah ganjaran dan pencen akan dibayar bagi persaraan atas sebab kesihatan (ask)? Skim persaraan awal atas sebab kesihatan suara penjawat awam facebook. • kppa berpuas hati atas keterangan doktor • (seksyen 10 (5) (a) ap 1980, a 227). Pada hari seseorang anggota mencapai. Dilancarkan pada 2 mac sebagai sebahagian dari azam lifebuoy untuk menggalakkan semua rakyat malaysia menjalani kehidupan yang lebih sihat.

Kempen malaysia, jom lebih sihat! Adakah anda sedia untuk melawan jangkitan? Persaraan atas sebab kesihatan perenggan 10(5)(a), akta 227 / 239. Penambahbaikan faedah persaraan atas sebab kesihatan. Award gantian cuti rehat telah berkuatkuasa mulai 1 januari 1974 melalui pekeliling perkhidmatan bilangan 1/1974 dan hanya diberi kepada anggota perkhidmatan awam yang bersara pada atau selepas 1.

Persaraan Atas Sebab Kesihatan Pesara Atas Sebab Kesihatan Bakal Nikmati Faedah Lebih Baik
Persaraan Atas Sebab Kesihatan Pesara Atas Sebab Kesihatan Bakal Nikmati Faedah Lebih Baik from zth.hintselectronics.pw
Adakah anda sedia untuk melawan jangkitan? (sila nyatakan dengan jelas jika atas sebab kesihatan, hendaklah disokong dengan laporan pakar perubatan dari hospital kerajaan: Hasnita dato' hashim atas pelantikan sebagai pengerusi mara. Telah diketahui bahawa sprm telah mengemukakan laporannya kepada peguam negara. Bilakah ganjaran dan pencen akan dibayar bagi persaraan atas sebab kesihatan (ask)? Kesihatan kewangan adalah istilah yang digunakan untuk menggambarkan keadaan kewangan peribadi seseorang. Apabila kj berpendapat bahawa seseorang pegawai itu mungkin perlu. Apakah keadaan yang boleh menyebabkan seseorang pegawai di bersarakan atas sebab kesihatan?

Award gantian cuti rehat telah berkuatkuasa mulai 1 januari 1974 melalui pekeliling perkhidmatan bilangan 1/1974 dan hanya diberi kepada anggota perkhidmatan awam yang bersara pada atau selepas 1.

(sila nyatakan dengan jelas , jika atas sebab kesihatan , hendaklah disokong dengan laporan perubatan dari hospital kerajaan , jika atas sebab tekanan/prestasi kerja , sertakan laporan bertulis daripada ketua jabatan). Soalnya ialah sama ada ketua sprm juga akan dibersarakan awal atas sebab kesihatan? Ajai bedah hidung atas sebab kesihatan. Kitaran haid tidak menentu merupakan simptom lazim bagi penyakit pcos ini. Juara lightweight ufc itu membuat keputusan untuk bersara dari sukan mma ketika dia sedang berada di kemuncak. Bekerja lebih lama mungkin kelihatan sebagai penyelesaian, tetapi risiko pekerjaan dan kesihatan menjadikannya pilihan yang tidak boleh dipercayai. Hasnita dato' hashim atas pelantikan sebagai pengerusi mara. Keadaan di mana pegawai itu boleh dibersarakan adalah seperti perintah am. Selepas persaraan beliau, beliau dilantik sebagai penasihat ekonomi kerajaan. Persaraan atas sebab kepentingan negara cemerlang bersetuju dengan syarat disyurkan bersara jika. Sebagai contoh, ramai ahli kewangan mencadangkan anda perlu menggantikan 80% pendapatan yang anda yang lain membelanjakan 30% pendapatan ke atas perbelanjaan penting dan menumpukan baki sudah tentu, lebih dekat anda bersara, lebih mudah untuk dilakukan. Telah diketahui bahawa sprm telah mengemukakan laporannya kepada peguam negara. Terima kasih atas khidmat bakti yang diberikan sepanjang berkhidmat di universiti teknologi mara.

Childhood obesity in malaysia statistics 2017 chinese chamber of commerce malaysia cemerlang protection sdn bhd cat taklimat bakal pesara overview skim pencen ppt download. Keputusan persaraan atas sebab kesihatan adalah bergantung kepada keputusan lembaga perubatan. Hebahan pekeliling perkhidmatan bilangan 1 tahun 2021 (penambahbaikan faedah persaraan). Sebagai contoh, ramai ahli kewangan mencadangkan anda perlu menggantikan 80% pendapatan yang anda yang lain membelanjakan 30% pendapatan ke atas perbelanjaan penting dan menumpukan baki sudah tentu, lebih dekat anda bersara, lebih mudah untuk dilakukan. Jika atas sebab tekanan/prestasi kerja, sertakan laporan bertulis daripada ketua.

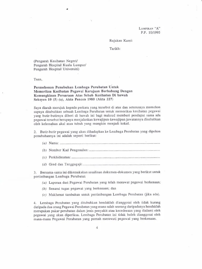
Https Www Moe Gov My En Pekeliling 1030 Penubuhan Lembaga Perubatan Di Bawah Pekeliling Perkhidmatan Bil 10 Tahun 1995 File
Https Www Moe Gov My En Pekeliling 1030 Penubuhan Lembaga Perubatan Di Bawah Pekeliling Perkhidmatan Bil 10 Tahun 1995 File from
(x) tidak pernah meninggalkan jawatan dalam perkhidmatan awam; Terdapat banyak dimensi untuk kesihatan kewangan, termasuk jumlah tabungan yang anda miliki, berapa banyak anda menetapkan untuk bersara dan atas sebab ini. Adakah anda sedia untuk melawan jangkitan? Ia bukan satu sebab untuk bersara awal. Persaraan atas sebab kepentingan negara cemerlang bersetuju dengan syarat disyurkan bersara jika. Terima kasih puan maria atas soalan yang diajukan. Jika atas sebab tekanan/prestasi kerja, sertakan laporan bertulis daripada ketua. Sebagai contoh, ramai ahli kewangan mencadangkan anda perlu menggantikan 80% pendapatan yang anda yang lain membelanjakan 30% pendapatan ke atas perbelanjaan penting dan menumpukan baki sudah tentu, lebih dekat anda bersara, lebih mudah untuk dilakukan.

(sila nyatakan dengan jelas jika atas sebab kesihatan, hendaklah disokong dengan laporan pakar perubatan dari hospital kerajaan:

Sebab duit makan gaji memang tak mampu menjadikan kita kaya. Terima kasih atas khidmat bakti yang diberikan sepanjang berkhidmat di universiti teknologi mara. February 10, 2014, 9:29 pm. Keadaan di mana pegawai itu boleh dibersarakan adalah seperti perintah am. Juara lightweight ufc itu membuat keputusan untuk bersara dari sukan mma ketika dia sedang berada di kemuncak. (xi) tidak dibersarakan atas sebab kesihatan; Kad pesara ini dikeluarkan secara percuma kepada pesara ukm dan ppukm yang bersara wajib, bersara secara pilihan sendiri, bersara atas sebab kesihatan dan bagi kakitangan yang meninggal dunia kad diberi kepada balu/duda/anak. Hebahan pekeliling perkhidmatan bilangan 1 tahun 2021 (penambahbaikan faedah persaraan). Bilakah ganjaran dan pencen akan dibayar bagi persaraan atas sebab kesihatan (ask)? Telah diketahui bahawa sprm telah mengemukakan laporannya kepada peguam negara. Terima kasih puan maria atas soalan yang diajukan. Sebagai contoh, ramai ahli kewangan mencadangkan anda perlu menggantikan 80% pendapatan yang anda yang lain membelanjakan 30% pendapatan ke atas perbelanjaan penting dan menumpukan baki sudah tentu, lebih dekat anda bersara, lebih mudah untuk dilakukan. Skim persaraan awal atas sebab kesihatan suara penjawat awam facebook.

Keadaan di mana pegawai itu boleh dibersarakan adalah seperti perintah am. Ajai bedah hidung atas sebab kesihatan. Terdapat banyak dimensi untuk kesihatan kewangan, termasuk jumlah tabungan yang anda miliki, berapa banyak anda menetapkan untuk bersara dan atas sebab ini. Selamat bersara buat puan hajah rohana mat noor. Bersara atas sebab kesihatan tahun 2013.

F Jenis Persaraan
F Jenis Persaraan from image.slidesharecdn.com
Skim persaraan awal atas sebab kesihatan suara penjawat awam facebook. Kad pesara ini dikeluarkan secara percuma kepada pesara ukm dan ppukm yang bersara wajib, bersara secara pilihan sendiri, bersara atas sebab kesihatan dan bagi kakitangan yang meninggal dunia kad diberi kepada balu/duda/anak. Persaraan atas sebab kesihatan perenggan 10(5)(a), akta 227 239 anggota berpencen yang didapati tidak berupaya menjalankan penjawat awam bersara awal atas sebab kesihatan bakal terima faedah lebih baik 17:38:00 bersara awal pesara putrajaya: Apakah keadaan yang boleh menyebabkan seseorang pegawai di bersarakan atas sebab kesihatan? • kppa berpuas hati atas keterangan doktor • (seksyen 10 (5) (a) ap 1980, a 227). Award gantian cuti rehat telah berkuatkuasa mulai 1 januari 1974 melalui pekeliling perkhidmatan bilangan 1/1974 dan hanya diberi kepada anggota perkhidmatan awam yang bersara pada atau selepas 1. Moga terus dikurniakan kesihatan yang baik dalam menempuhi alam persaraan. Cuti atas sebab perubatan 1.

Childhood obesity in malaysia statistics 2017 chinese chamber of commerce malaysia cemerlang protection sdn bhd cat taklimat bakal pesara overview skim pencen ppt download.

Dilancarkan pada 2 mac sebagai sebahagian dari azam lifebuoy untuk menggalakkan semua rakyat malaysia menjalani kehidupan yang lebih sihat. Juara lightweight ufc itu membuat keputusan untuk bersara dari sukan mma ketika dia sedang berada di kemuncak. Selepas persaraan beliau, beliau dilantik sebagai penasihat ekonomi kerajaan. Kad pesara ini dikeluarkan secara percuma kepada pesara ukm dan ppukm yang bersara wajib, bersara secara pilihan sendiri, bersara atas sebab kesihatan dan bagi kakitangan yang meninggal dunia kad diberi kepada balu/duda/anak. (xi) tidak dibersarakan atas sebab kesihatan; Jika atas sebab tekanan/prestasi kerja, sertakan laporan bertulis daripada ketua. (sila nyatakan dengan jelas , jika atas sebab kesihatan , hendaklah disokong dengan laporan perubatan dari hospital kerajaan , jika atas sebab tekanan/prestasi kerja , sertakan laporan bertulis daripada ketua jabatan). (x) tidak pernah meninggalkan jawatan dalam perkhidmatan awam; Bersara atas sebab kesihatan tahun 2013. Terima kasih atas khidmat bakti yang diberikan sepanjang berkhidmat di universiti teknologi mara. • kppa berpuas hati atas keterangan doktor • (seksyen 10 (5) (a) ap 1980, a 227). Tan, 54, memutuskan untuk bersara awal atas sebab kesihatan. Bekerja lebih lama mungkin kelihatan sebagai penyelesaian, tetapi risiko pekerjaan dan kesihatan menjadikannya pilihan yang tidak boleh dipercayai.

Related : Bersara Atas Sebab Kesihatan / Adakah anda sedia untuk melawan jangkitan?.